当前位置: 首页>政府信息公开>法定主动公开内容>其他法定信息>医疗保障

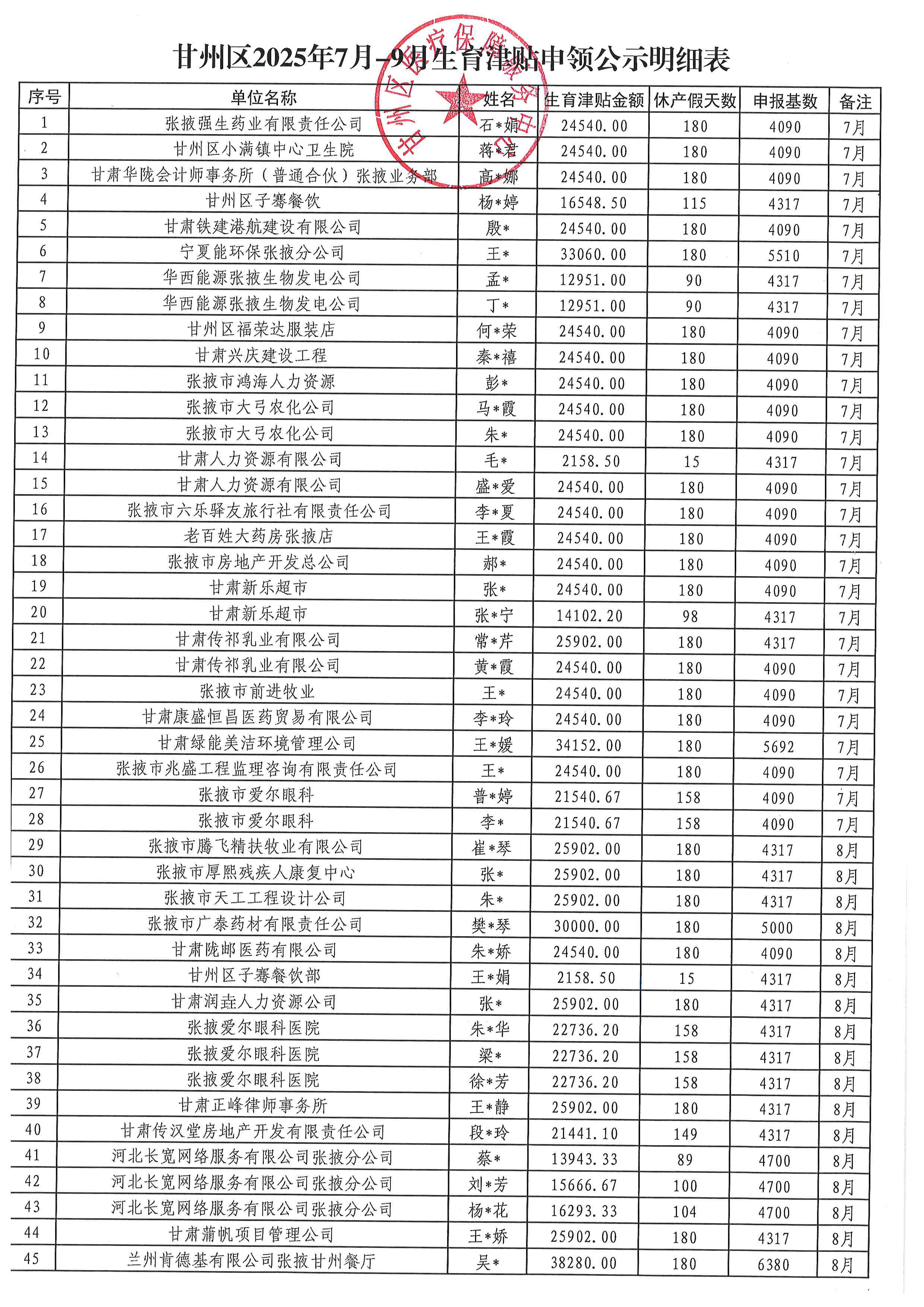
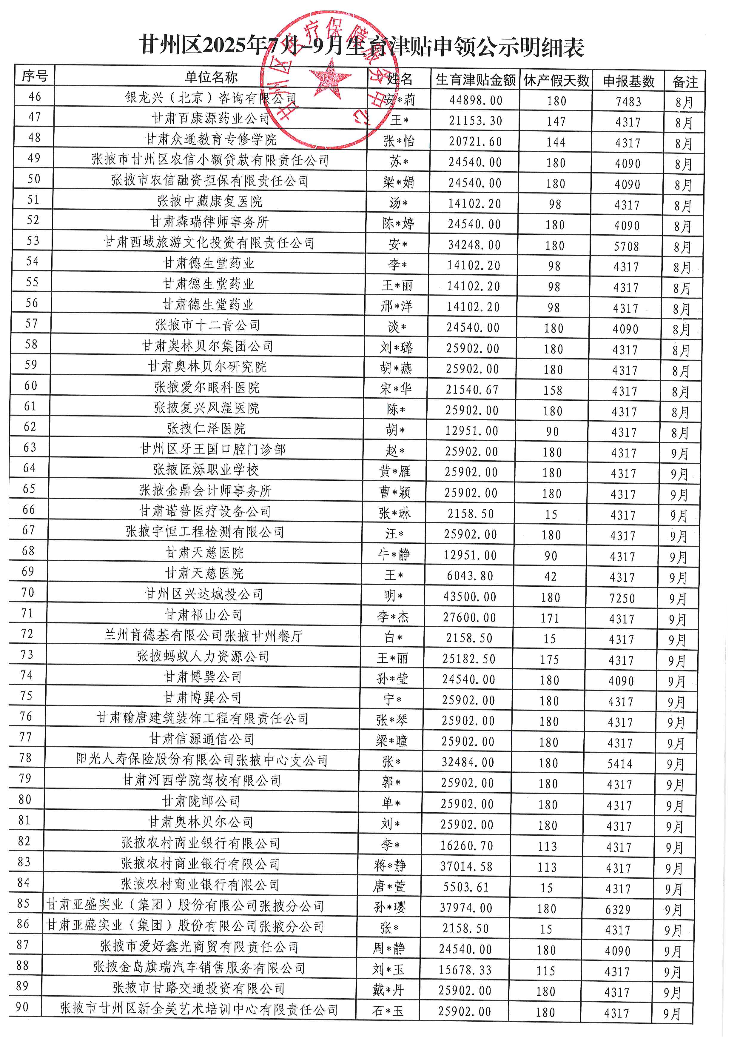
甘州区医疗保障服务中心 2025年7月-9月城镇职工生育津贴申领公示

发表日期:2025-10-30 17:25:00 发布机构:医疗保障局
索引号 620702065/2025-00032 发文字号
关键词 发布机构 医疗保障局
公开形式 责任部门
生成日期 2025-10-30 17:25:00 是否有效

为了确保职工生育津贴申领发放的规范化、标准化,确保生育津贴政策全面落实到位,让生育津贴政策惠及更多休产假的育龄妇女,切实保障女职工合法权益,现将2025年7月-9月生育津贴申领人员予以公示,接受广大群众监督。如发现存在挂靠、虚构劳动关系,休产假天数不实,开具虚假证明,提供不实材料等违法违规行为,可通过来电、来信、面谈等形式反映,区医保服务中心将认真受理,一经查实依法依规严肃处理,坚决杜绝虚报冒领行为。

公示时间:2025年10月30日至2025年11月6日

受理电话:0936-8253805

受理时间:法定工作日8:30-12:00,14:30-18:00

通讯地址:张掖市甘州区滨河新区政务服务大厅二楼四号厅

医保服务窗口(参保核定股)

甘州区医疗保障服务中心       

2025年10月30日       



扫一扫在手机打开当前页面